01 背包是一种动态规划问题。动态规划的核心就是状态转移方程,本文主要解释 01 背包状态转移方程的原理。
问题描述
01 背包问题可描述为如下问题:
有一个容量为 V 的背包,还有 n 个物体。现在忽略物体实际几何形状,我们认为只要背包的剩余容量大于等于物体体积,那就可以装进背包里。每个物体都有两个属性,即体积 w 和价值 v。
问:如何向背包装物体才能使背包中物体的总价值最大?
原始的 01 背包
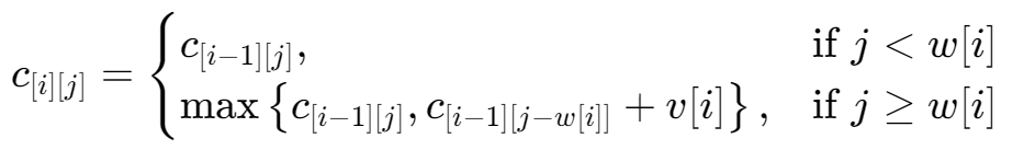
01 背包的状态转移方程为
C_{[i][j]} = \max(C_{[i - 1][j]}, C_{[i - 1][j - w[i]]} + v_{[j]})
- i 代表对 i 件物体做决策,有两种方式—放入背包和不放入背包。
- j 表示当前背包剩余的容量。
转移方程的解释:
创建一个状态矩阵 f,横坐标 i 是物体编号,纵坐标 j 为背包容量。
首先将 f 第 0 行和第 0 列初始化为 0,表示不放物体时最大价值为 0。(物体编号从 1 开始)
接下来依次遍历 f 的每一行。如下所示。
for (int i = 1; i <= n; i++)
{
for (int j = V; j >= 0; j--)
{
if (j >= w[i])//如果背包装得下当前的物体
{
f[i][j] = max(f[i - 1][j], f[i - 1][j - w[i]] + v[i]);
}
else//如果背包装不下当前物体
{
f[i][j] = f[i - 1][j];
}
}
}
如果背包装得下当前的物体,在遍历过程中分别计算第 i 件物体放入和不放入背包的价值,取其中大的做为当前的最大价值。
如果背包装不下当前物体那么第 i 个物体只有不放入背包一种选择。
- 不放入背包时,第 i 次决策后的最大价值和第 i-1 次决策时候的价值相同。
- 放入背包时:第 i 次决策后的价值为 第 i-1 次决策时候的价值 加上 当前物体的价值 v [j]。

表格举例:
| 0 | 1 | 2 | 3 | 4 | 5 | 6 | |
|---|---|---|---|---|---|---|---|
| 0(w, v) | 0 | 0 | 0 | 0 | 0 | 0 | 0 |
| 1(2,3) | 0 | 0 | 3 | 3 | 3 | 3 | 3 |
| 2(3,5) | 0 | 0 | 3 | 5 | 5 | 8 | 8 |
| 3(4,6) | 0 | 0 | 3 | 5 | 6 | 6 | 9 |
[[自制] 01 背包问题算法动画讲解](https://www.bilibili.com/video/BV1pY4y1J7na?vd_source = bb82e9e2a13d2f171a5a864e6297afb5)
#include <iostream>
#include <vector>
using namespace std;
#define max(N1,N2) N1>N2?N1:N2
int main()
{
/*
第一行输入背包容量V和物体的个数n
接下来有n行,每行包含两个数字,分别为该物体的花费和价值
*/
vector<int> w, v; // w为花费,v为价值
vector<vector<int>> f; // f状态矩阵
int V, n; // V背包容量,n物体数
while (cin >> V >> n)
{
w.clear();
v.clear();
f.clear();
w.push_back(0);
v.push_back(0);
// 输入原始数据
for (int i = 1; i <= n; i++)
{
int cur_w, cur_v;
cin >> cur_w >> cur_v;
w.push_back(cur_w);
v.push_back(cur_v);
}
// 初始化状态矩阵
for (int i = 0; i <= n; i++)
{
vector<int> buff(V + 1, 0);
f.push_back(buff);
}
// 动态规划过程
for (int i = 1; i <= n; i++)
{
for (int j = V; j >= 0; j--)
{
if (j >= w[i])
{
f[i][j] = max(f[i - 1][j], f[i - 1][j - w[i]] + v[i]);
}
else
{
f[i][j] = f[i - 1][j];
}
}
}
// 输出答案
int ans = f[n][V];
cout << ans << endl;
}
return 0;
}
优化空间复杂度的 01 背包
未优化时候状态转移方程为
f [i][j] = max(f [i−1][j], f [i−1][j−w[i]]+v [j])f [i][j] = max(f [i−1][j], f [i−1][j−w[i]]+v [j])
遍历过程为
for (int i = 1; i <= n; i++)
{
for (int j = V; j >= 0; j--)
{
if (j >= w[i])
{
f[i][j] = max(f[i - 1][j], f[i - 1][j - w[i]] + v[i]);
}
else
{
f[i][j] = f[i - 1][j];
}
}
}
可以发现如下问题:
- 状态表 f 的遍历顺序为从第 1 行开始一行一行遍历,且在遍历第 i 行时候不会用到第 i-2 行数据
- 遍历每一行时候只用到当前容量 j 和 j-w [i] 的数据
优化方法:
f [j] = max(f [j], f [j−w[i]]+v [j])f [j] = max(f [j], f [j−w[i]]+v [j])
for (int i = 1; i <= n; i++)
{
for (int j = V; j >= 0; j--)
{
if (j >= w[i])
{
f[j] = max(f[j], f[j - w[i]] + v[i]);
}
else
{
f[j] = f[j]; // 无用操作
}
}
}
优化关键点:
- 用单维数组覆盖存储,只需保留上一行数据
- j 需要 从大到小 遍历(保证使用更新前的数据)
- 移除无用操作
最终优化版本:
for (int i = 1; i <= n; i++)
{
for (int j = V; j >= w[i]; j--)
{
f[j] = max(f[j], f[j - w[i]] + v[i]);
}
}
完整代码:
#include <iostream>
#include <vector>
using namespace std;
#define max(N1,N2) N1>N2?N1:N2
int main()
{
/*
第一行输入背包容量V和物体的个数n
接下来有n行,每行包含两个数字,分别为该物体的花费和价值
*/
vector<int> w, v; // w为花费,v为价值
vector<int> f; // f状态矩阵
int V, n; // V背包容量,n物体数
while (cin >> V >> n)
{
w.clear();
v.clear();
f.clear();
w.push_back(0);
v.push_back(0);
// 输入原始数据
for (int i = 1; i <= n; i++)
{
int cur_w, cur_v;
cin >> cur_w >> cur_v;
w.push_back(cur_w);
v.push_back(cur_v);
}
// 初始化状态矩阵
f = vector<int>(V + 1, 0);
// 动态规划过程
for (int i = 1; i <= n; i++)
{
for (int j = V; j >= w[i]; j--)
{
f[j] = max(f[j], f[j - w[i]] + v[i]);
}
}
// 输出答案
int ans = f[V];
cout << ans << endl;
}
return 0;
}
文章评论